Skip to main content
Side panel
Home
Calendar
More
Standards
Students
Staff
Strategic Plan
More
You are currently using guest access
Log in
Home
Calendar
More
Collapse
Expand
Standards
Students
Staff
Strategic Plan
Expand all
Collapse all
Open course index
25-26 S1 AP Chemistry - Johnson
Unit 10: Gases - Chapter 5
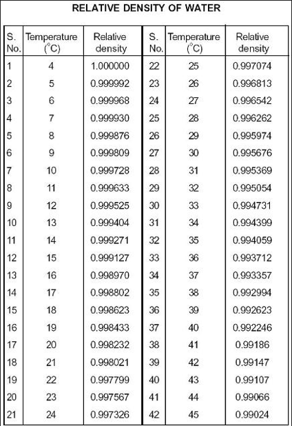
relative density of water table
relative density of water table
Completion requirements
Click
relative-density-of-water.png
link to view the file.